• Предмет: Математика
  • Автор: nikita0410ggg
  • Вопрос задан 2 года назад

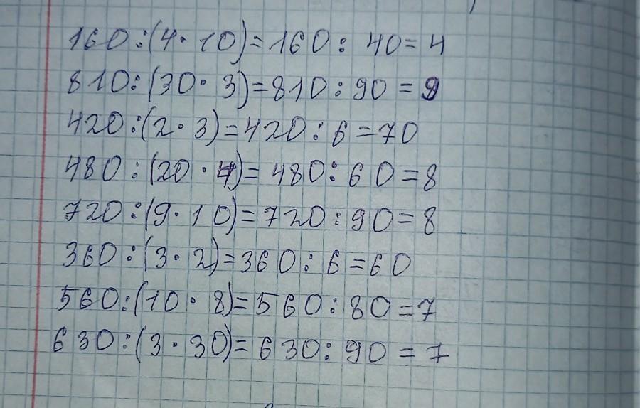
10 ДОМАШНЕЕ ЗАДАНИЕ Вычисли разными способами. Подчеркни удобный способ. 160:(4-10) 810:(303) 420:(2-3) 480 (204) 720:(9-10) 360 (3.2) 560:(10-8) 630:(3-30)​

Ответы

Ответ дал: tolegenovasholpan197
14

Надеюсь я вам помогла))))

Приложения:

miki818: правильно.
izzatovazilif7: спасибо ты очень помогла потому что я спешила
aberikbolova21: Красивый почерк
nuraj461: спасибо пупсик
Аноним: что?
dianabejsenbaj7: Спасибо ❤️‍
kizatovaamira: Спс
Ответ дал: iramazurk
5

Пошаговое объяснение:

160 : (4 * 10) = 160 : 40 = 40

810 : (30 * 3) = 810 : 90 = 9

420 : (2 * 3) = 420 : 6 = 70

480 : (20 * 4) = 480 : 80 = 6

720 : (9 * 10) = 720 : 90 = 8

360 : (3 * 2) = 360 : 6 = 60

560 : (10 * 8) = 560 : 80 = 7

630 : (3 * 30) = 630 : 90 = 7

Вас заинтересует