• Предмет: Математика
  • Автор: brjio26
  • Вопрос задан 2 года назад

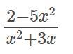
Помогите пожалуйста.Решите уравнение f(x)=0​

Приложения:

Ответы

Ответ дал: fk040826
0

Ответ:

решение на фото

Пошаговое объяснение:

Приложения:
Вас заинтересует