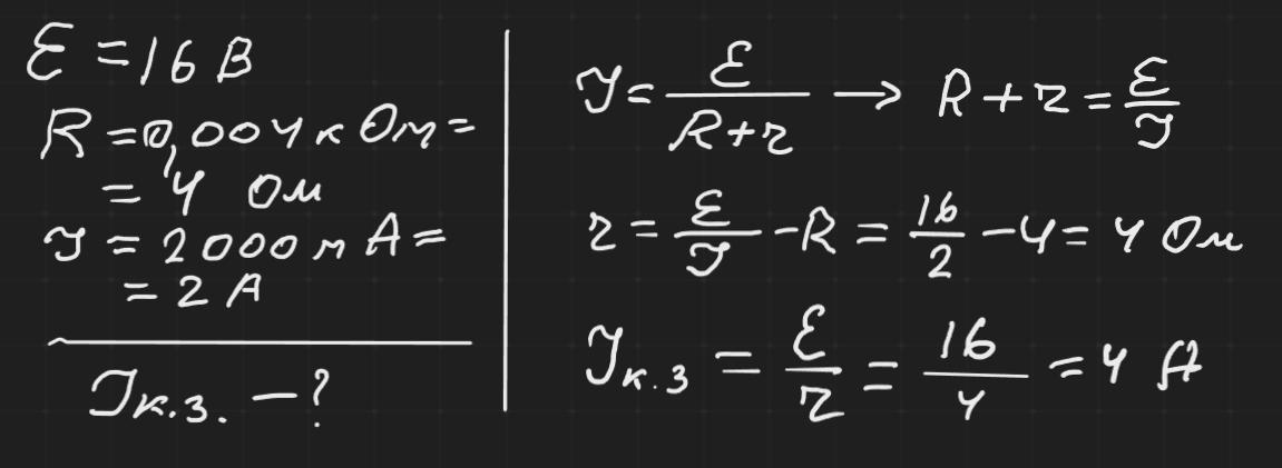
До джерела струму з EPC 16 В приєднують провідник, зовнішній опір якого дорівнює 0, 004 кОм. Сила струму, що виникає в колі 2000 мА. При цьому виникає явище короткого замикання. Яка сила струму в цей момент?
Ответы
Ответ дал:
3
Відповідь: 4 А
Пояснення:
Приложения:

Вас заинтересует
1 год назад
1 год назад
1 год назад
3 года назад
8 лет назад