• Предмет: Математика
  • Автор: a3455287
  • Вопрос задан 2 года назад

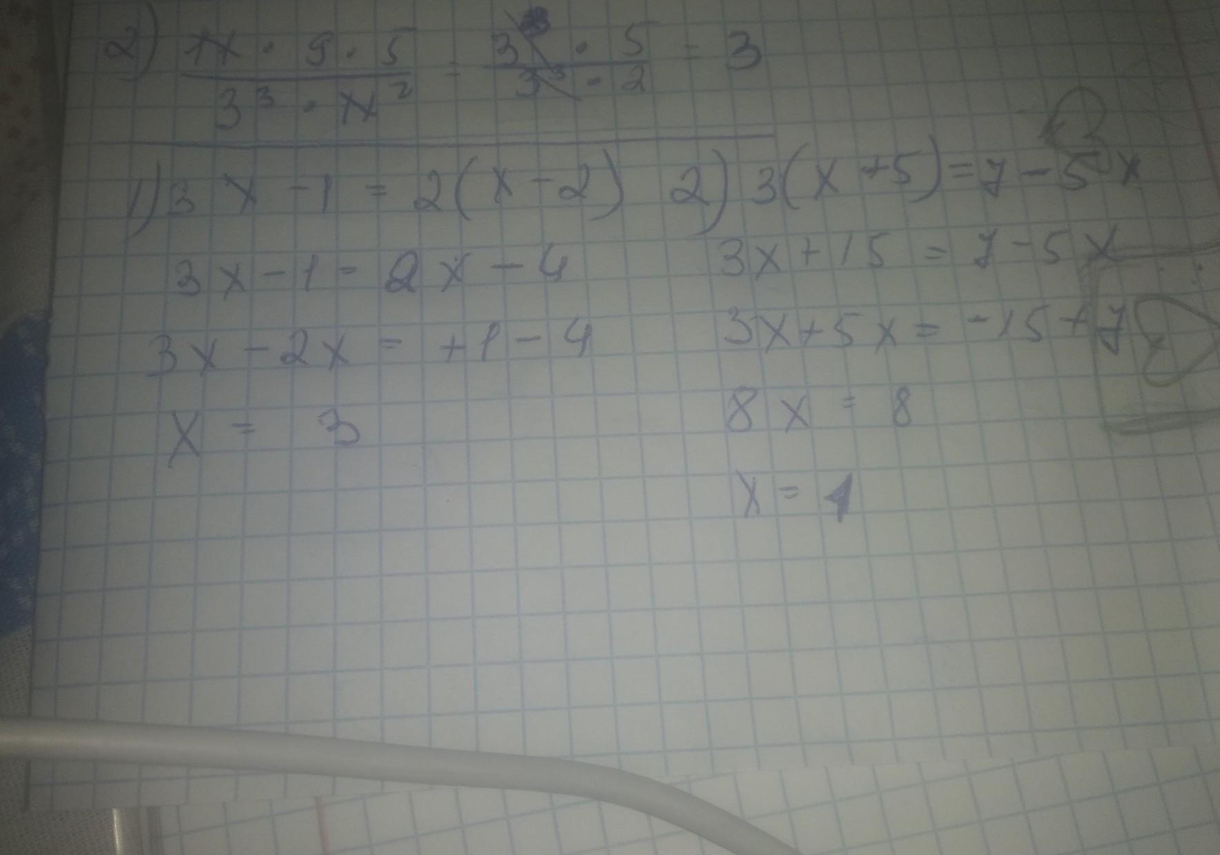
B 3x − 1 = 2(x - 2) 3(x+5) = 7 – 5x 19(y - 9) = 3(y - 8) 4(x - 9) = 3(x-8) 3(2x - 9) = 5(x-4)​

Ответы

Ответ дал: valijonmarjona
0

Ответ:

eta 2 resheniya 3 zadachu ti nepravilna napisal

Приложения:
Ответ дал: jekadva
0

Ответ:

Пошаговое объяснение:

3x − 1 = 2(x - 2)

3x - 1 = 2x - 4

3x - 2x = -4 + 1

x = -3

3(x+5) = 7 – 5x

3x + 15 = 7 - 5x

3x + 5x = 7 - 15

8x = -8

x = -8 : 8

x = -1

19(y - 9) = 3(y - 8)

19y - 171 = 3y - 24

19y - 3y = 171 - 24

16y = 147

y = 147 : 16

y = 9,1875

4(x - 9) = 3(x-8)

4x - 36 = 3x - 24

4x - 3x = 36 - 24

x = 12

3(2x - 9) = 5(x-4)​

6x - 27 = 5x - 20

6x - 5x = 27 - 20

x = 7

Вас заинтересует