• Предмет: Алгебра
  • Автор: Аноним
  • Вопрос задан 2 года назад

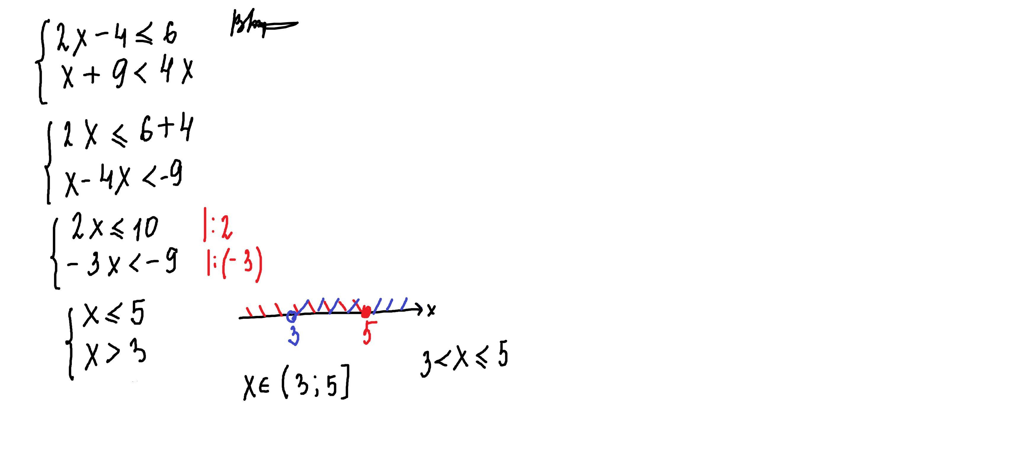
{2x - 4 <= 6
{x + 9 < 4x

Розв'яжіть систему нерівностей:


Аноним: Якщо що це одна велика на початку душка
.

Ответы

Ответ дал: parus77
3

Ответ:

Объяснение:

решение внизу

Приложения:
Вас заинтересует