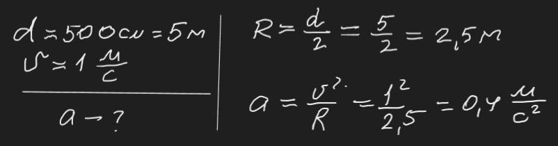
Визначте з яким прискоренням рухається хлопчик. Діаметр каруселі 500 см, а швидкість обертання 1 м/с.
Ответы
Ответ дал:
1
Відповідь: 0,4 м/с²
Пояснення:
Приложения:

Вас заинтересует
1 год назад
1 год назад
1 год назад
3 года назад
3 года назад
8 лет назад