• Предмет: Физика
  • Автор: Аноним
  • Вопрос задан 2 года назад


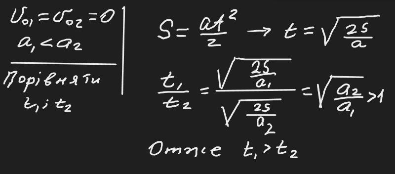
4. Два тіла зі стану спокою почали рухатися з прискоренням а1 і а2, причому а1 < а2. Яке тіло, 1 або 2, досягне швидше пункту призначення А, якщо тіла рухаються по одній траєкторії? СРОЧНООО ​

Ответы

Ответ дал: zybkov1950
0

Відповідь:  швидше досягне пункту призначення тіло 2

Пояснення:

Приложения:

georgjzora42: можеш пж зделать мне кр по физики задание я виставил
ulevenec73: можете мне помочь пожалуйста с физикой
Вас заинтересует