• Предмет: Алгебра
  • Автор: stupidone12
  • Вопрос задан 2 года назад

помогите с алгеброй пожалуйста ​

Приложения:

Ответы

Ответ дал: himikomat
0

Ответ:

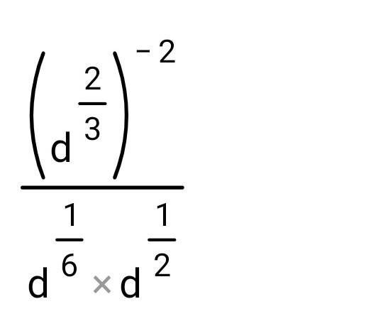
 \frac{( {d}^{ \frac{2}{3} }) ^{ - 2}  }{ {d}^{ \frac{1}{6} }  \times  {d}^{ \frac{1}{2} } }

 \frac{ {d}^{ \frac{2}{3} \times ( - 2) } }{ {d}^{ \frac{1}{6}  +  \frac{1}{2} } }

 \frac{ {d}^{ -  \frac{4}{3} } }{ {d}^{ \frac{2}{3} } }

 \frac{1}{ {d}^{ \frac{2}{3} - ( -  \frac{4}{3})  } }

 \frac{1}{ {d}^{ \frac{2}{3}  +  \frac{4}{3} } }

 \frac{1}{ {d}^{2} }

Вас заинтересует