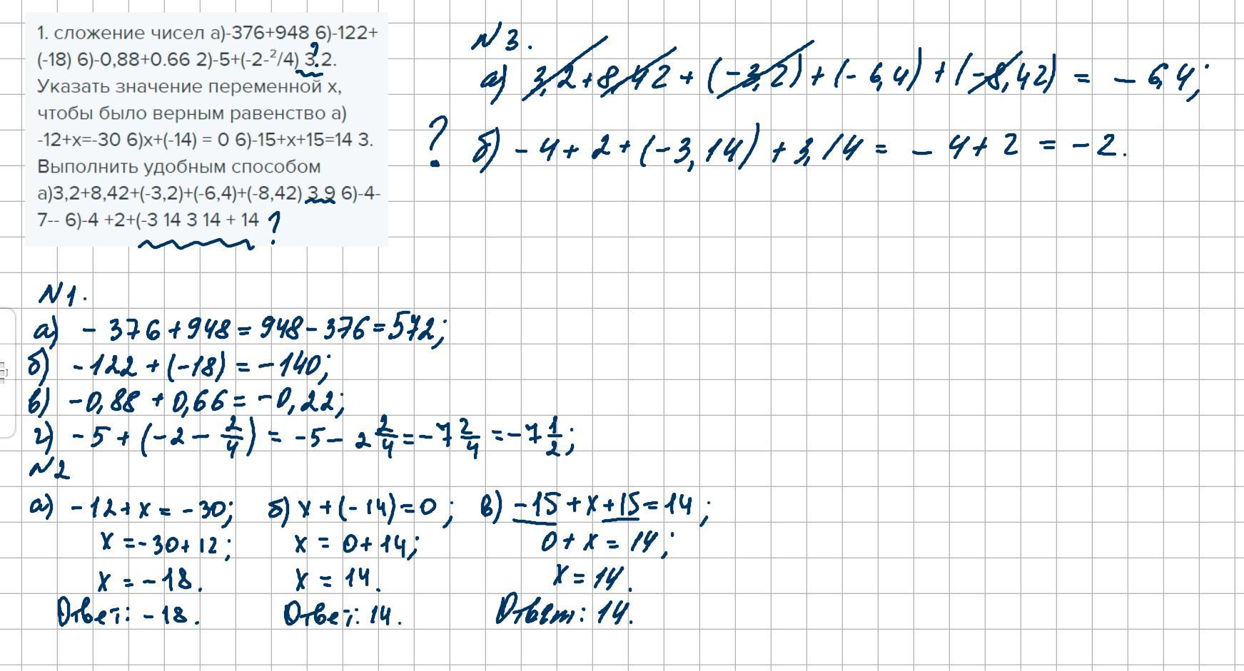
1. сложение чисел a)-376+948 6)-122+(-18) 6)-0,88+0.66 2)-5+(-2-²/4) 3 2. Указать значение переменной х, чтобы было верным равенство a) -12+x=-30 6)x+(-14) = 0 6)-15+x+15=14 3. Выполнить удобным способом a)3,2+8,42+(-3,2)+(-6,4)+(-8,42) 3 9 6)-4-7-- 6)-4 +2+(-3 14 3 14 + 14
Ответы
Ответ дал:
1
Ответ:
СВЕРТЕ С УСЛОВИЯМИ. У ВАС НЕ ПОНЯТНО НАПИСАНО
Пошаговое объяснение:
Приложения:

Вас заинтересует
1 год назад
1 год назад
1 год назад
3 года назад
3 года назад
8 лет назад