• Предмет: Математика
  • Автор: annasavchuk705
  • Вопрос задан 2 года назад

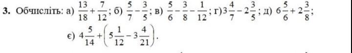
Помогите пж

Приложения:

adbestias: нічого не зрозуміло

Ответы

Ответ дал: albikosh23
1

Ответ:

.................................

Приложения:

annasavchuk705: Спасибо
Вас заинтересует