• Предмет: Алгебра
  • Автор: fedordangers
  • Вопрос задан 2 года назад

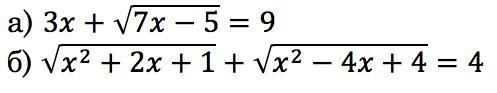
Решите уравнение:
1) 3x+√7x-5=9
2) √x^2+2x+1+√x^)-4x+4=4

Приложения:

Ответы

Ответ дал: lilyatomach
2

Ответ:

а) 2;     б) -1,5; 2,5.

Объяснение:

Решить уравнения

а) 3x+\sqrt{7x-5} =9

Уединим корень \sqrt{7x-5} =9-3x.

Тогда уравнение равносильно системе:

\left \{\begin{array}{l} 9-3x\geq0,  \\ 7x-5=(9-3x)^{2} ; \end{array} \right.\Leftrightarrow \left \{\begin{array}{l} -3x\geq-9,  \\ 7x-5=81-54x+9x^{2}  ; \end{array} \right.\Leftrightarrow \left \{\begin{array}{l} x\leq 3,  \\ 9x^{2} -61x+86=0 \end{array} \right.

Решим квадратное уравнение системы

9x^{2} -61x+86=0;\\D= (-61)^{2} -4\cdot 9\cdot 86 =3721-3096=625 = 25^{2} \\\\x{_1}= \dfrac{61-25}{2\cdot9} = \dfrac{36}{18} =2;\\\\x{_2}= \dfrac{61+25}{2\cdot9} = \dfrac{86}{18} =\dfrac{43}{9} =4\dfrac{7}{9}

Условию  x\leq 3       удовлетворяет х = 2.

Значит, 2 - корень уравнения.

Ответ: 2.

б)

\sqrt{x^{2} +2x+1} +\sqrt{x^{2} -4x+4} =4

Представим подкоренные выражения, используя формулы сокращенного умножения , в виде квадрата двучлена

a^{2} +2ab+b^{2} =(a+b)^{2} ;\\a^{2} -2ab+b^{2} =(a-b)^{2}

Тогда получим

\sqrt{(x+1)^{2} } +\sqrt{(x-2)^{2} } =4

Так как \sqrt{x^{2} } =|x|,     то получим  

|x+1|+|x-2|=4

Раскроем модули

1)  \left \{\begin{array}{l} x < - 1 \\ -x-1-x+2 =4 \end{array} \right.\Leftrightarrow \left \{\begin{array}{l} x < - 1 \\ -2x =3 \end{array} \right.\Leftrightarrow\left \{\begin{array}{l} x < - 1 \\ x =-1,5 \end{array} \right.\Leftrightarrow x=-1,5.

2)  \left \{\begin{array}{l} -1\leq x \leq  2, \\ x+1-x+2 =4 ;\end{array} \right.\Leftrightarrow \left \{\begin{array}{l} -1\leq x \leq 2, \\ 3=4. \end{array} \right.

Так как 3\neq 4  , то система не имеет решений.

3)  \left \{\begin{array}{l} x > 2 \\ x+1+x-2 =4; \end{array} \right.\Leftrightarrow \left \{\begin{array}{l} x > 2, \\ 2x =5; \end{array} \right.\Leftrightarrow\left \{\begin{array}{l} x > 2 \\ x =2,5 \end{array} \right.\Leftrightarrow x=2,5.

Ответ: -1,5; 2,5.

#SPJ1

Вас заинтересует