Математика 6 клас підручник Тарасенкової вправа 371.Допоможіть,срочно!
kbogd246:
Какой класс?
Ответы
Ответ дал:
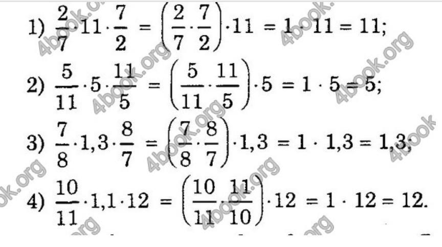
1
Пошаговое объяснение:
отаеты взяты с сайта 4book
Приложения:

Вас заинтересует
1 год назад
1 год назад
1 год назад
1 год назад
3 года назад
8 лет назад