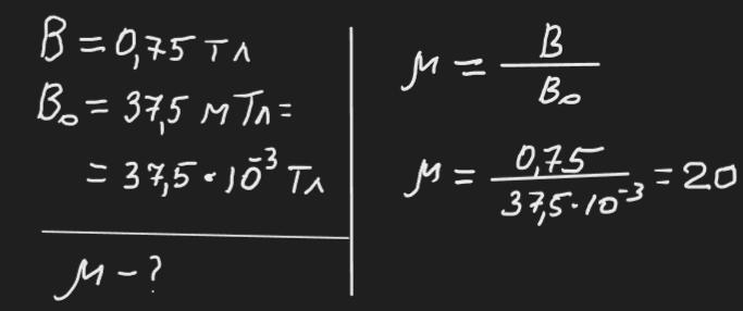
Магнітна індукція в даному бруску металу дорівнює 0,75 Тл, а індукція зовнішнього поля 37,5 мТл. Яка магнітна провідність металу?
Ответы
Ответ дал:
2
Відповідь: 20
Пояснення:
Приложения:

jelinoc2236:
Дякую
Вас заинтересует
1 год назад
1 год назад
3 года назад
3 года назад
8 лет назад
8 лет назад