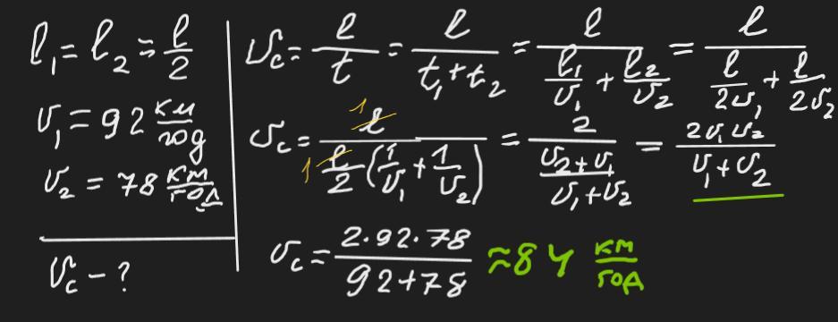
Автомобіль ïде першу половину шляху зі швидкістю 92 км/год, а другу половину шляху - зі швидкістю 78 км/ год. Знайди середню швидкість автомобіля на всьому шляху (відповідь округли до одиниць).
Ответы
Ответ дал:
0
Ответ:
84 км/ч
Объяснение:
v1=92 км/ч v2=78 км/ч s1=s2=s/2 vcp=?
===
vcp=(s1+s2)/(t1+t2)
t1=s1/v1=s/(2*v1)
t2=s2/v2=s/(2*v2)
vcp=(s/2+s/2)/(s/(2*v1) + s/(2*v2))=
=2/(1/v1 + 1/v2)=2*v1*v2/(v1+v2)=2*92*78/(92+78)=84.4 км/ч
===========================================
Ответ дал:
0
Відповідь: ≈ 84 км/год
Пояснення:
Приложения:

Вас заинтересует
1 год назад
1 год назад
1 год назад
3 года назад
8 лет назад