• Предмет: Алгебра
  • Автор: Аноним
  • Вопрос задан 2 года назад

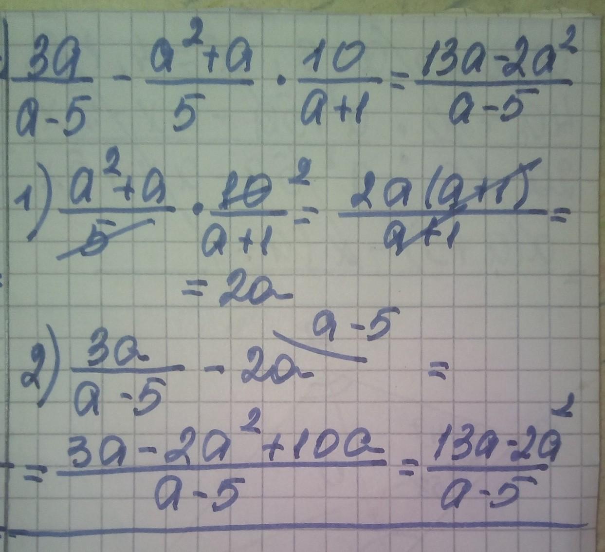
Помогите с Алгеброй пожалуйста

Приложения:

Аноним: Это дроби
Аноним: (Тотожни )

Ответы

Ответ дал: manyny06
1

Ответ:

решение смотри на фотографии

Приложения:
Вас заинтересует