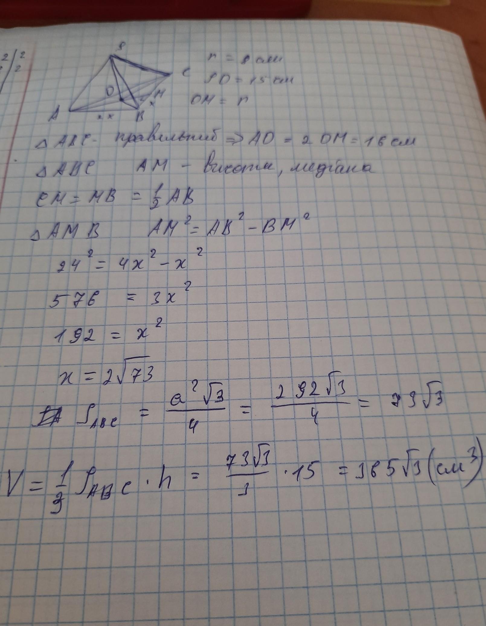
У правильній трикутній піраміді радіус кола, вписаного в її основу - 8 см, а висота - 15 см.
Знайти площу повної поверхні і об'єм піраміди.
Ответы
Ответ дал:
1
Объяснение:
на фотографії розв'язання
Приложения:
помоги
помогите пожалуйста
https://znanija.com/task/50708254?utm_source=android&utm_medium=share&utm_campaign=question
https://znanija.com/task/50708254?utm_source=android&utm_medium=share&utm_campaign=question
помоги пожалуйста
Вас заинтересует
1 год назад
1 год назад
2 года назад
2 года назад
3 года назад
3 года назад
9 лет назад
https://znanija.com/task/50707997?utm_source=android&utm_medium=share&utm_campaign=question