• Предмет: Алгебра
  • Автор: zaazasuvilvic
  • Вопрос задан 2 года назад

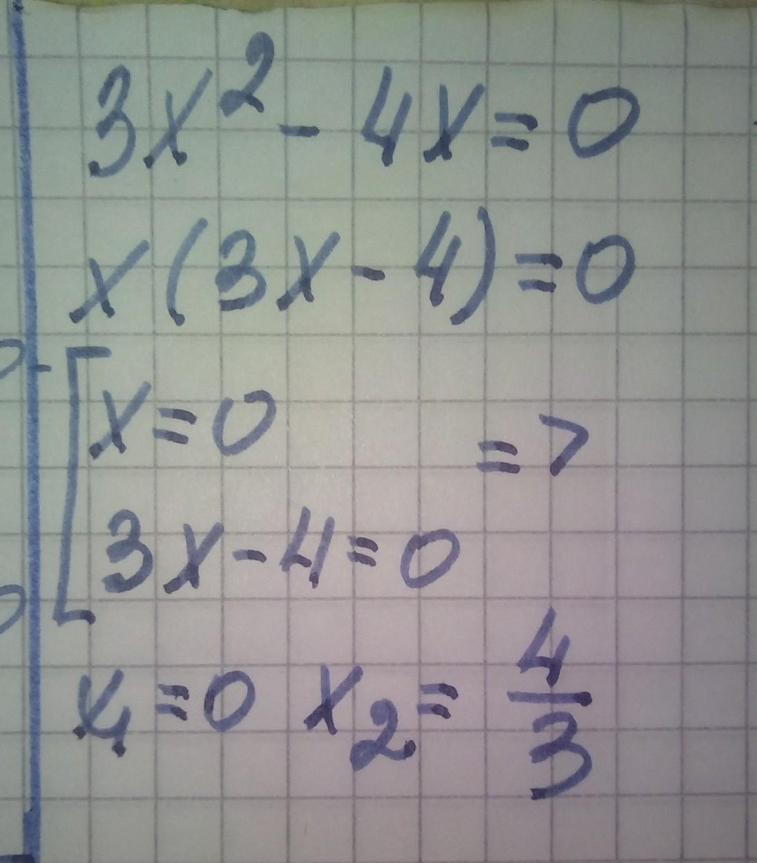
1)3х²-4х=0
Помогите ​

Ответы

Ответ дал: manyny06
0

Ответ:

решение смотри на фотографии

Приложения:
Ответ дал: mukasevtemirlan699
0

ответ:

x=0

x=4/3

Объяснение:

3x²-4x=0

x(3x-4)=0

x=0

3x-4=0

3x=4

x=4/3

Вас заинтересует