• Предмет: Математика
  • Автор: mironenkomargarita0
  • Вопрос задан 2 года назад

срочно помогите пожалуйста ​

Приложения:

Ответы

Ответ дал: saduakasadil7
1

Ответ:

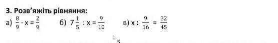
8/9×X=2/9 X=2/9×9/8=2/8=1/4

36/5÷X=9/10 X=36/5×10/9 X=8

x÷9/16=32/45

x=32/45×9/16=2/5

Вас заинтересует