• Предмет: Алгебра
  • Автор: alenachka15
  • Вопрос задан 10 лет назад

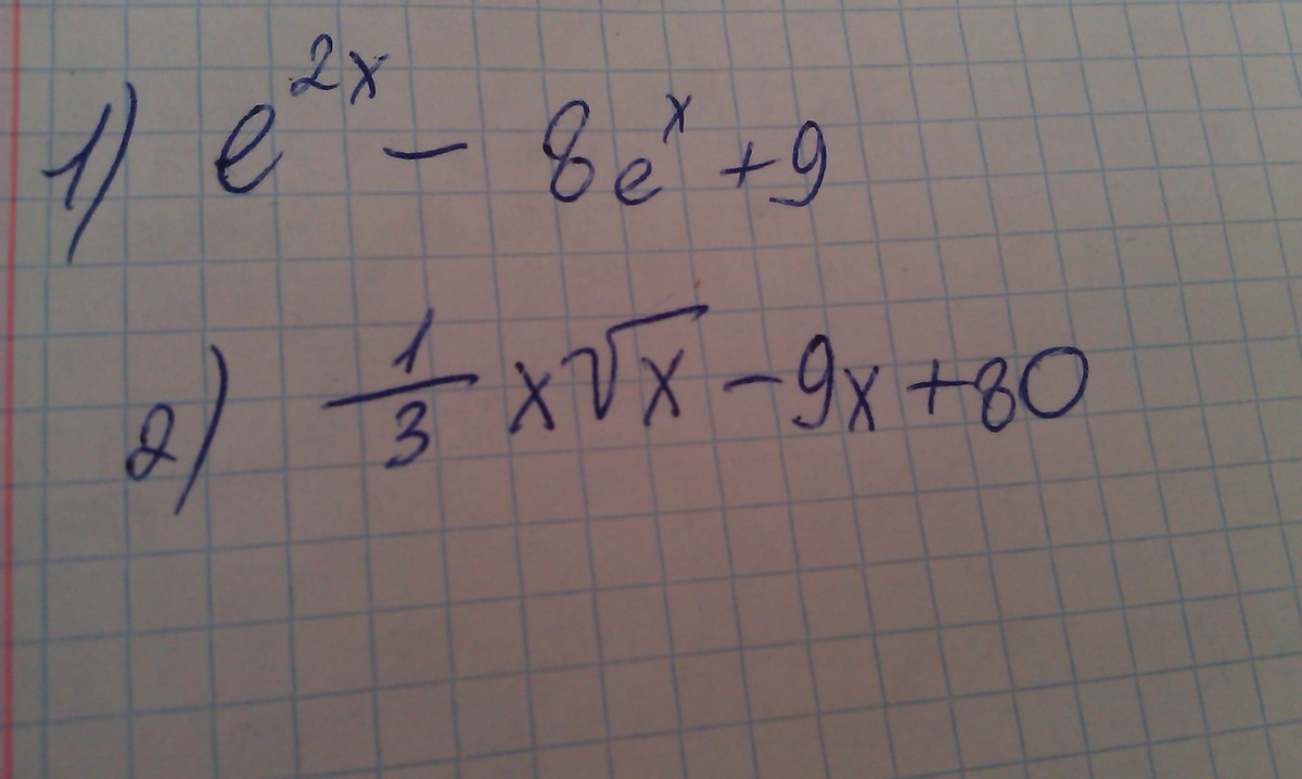
Найти производную выражения 

Приложения:

Ответы

Ответ дал: sashka394
0
какого из этих двух выражений?

Ответ дал: alenachka15
0
оба
Ответ дал: sashka394
0
1. 2e^2x - 8e^x
2. 1/(6*корень квадратный из x) - 9
Ответ дал: alenachka15
0
спасибо!
Вас заинтересует