• Предмет: Геометрия
  • Автор: flufix7
  • Вопрос задан 2 года назад

СРОЧНО ДАЮ 30 БАЛІВ!!!

Приложения:

Ответы

Ответ дал: manyny06
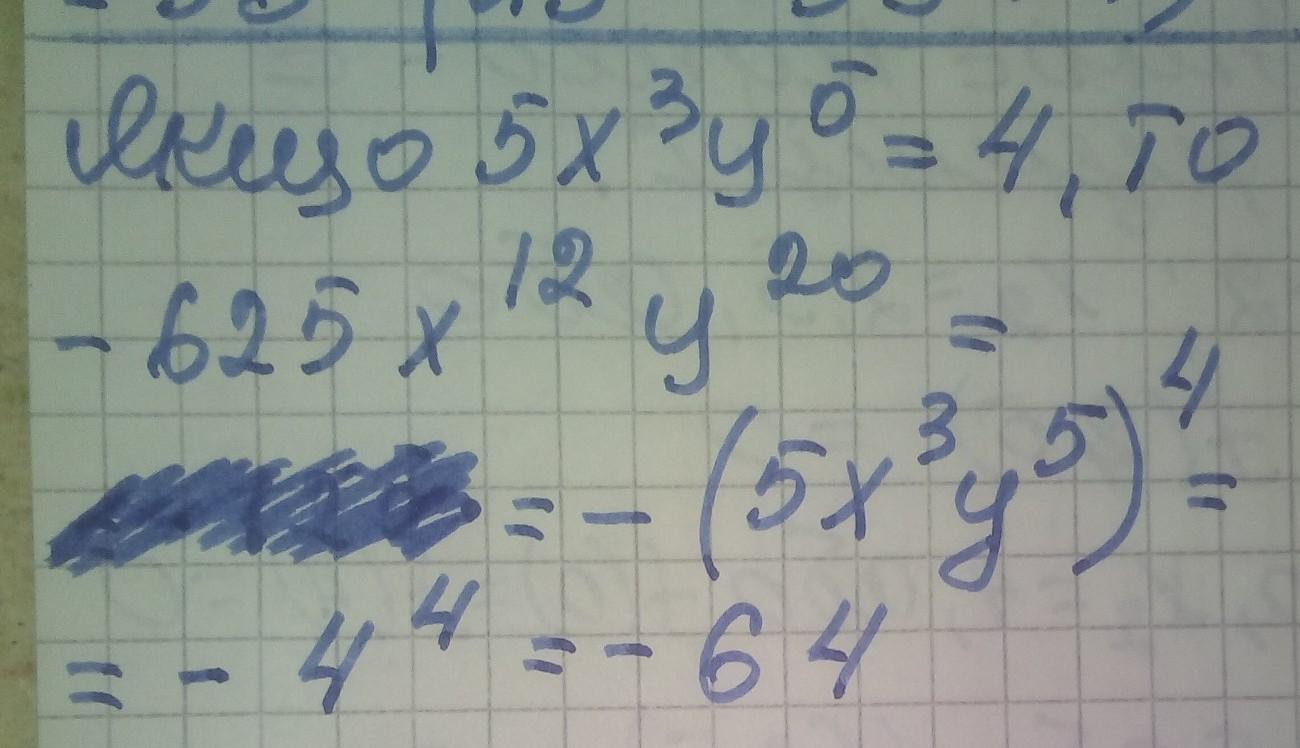
1

Ответ:

решение смотри на фотографии

Приложения:

flufix7: спасибо
flufix7: а можешь еще одно задание решить на моей странице?
saduakasadil7: -4⁴=-256
flufix7: почему так?
saduakasadil7: потому что -4²=16 -4³=-64 -4⁴=256
Ответ дал: saduakasadil7
1

Ответ:

если 5⁴=625

(х³)⁴=х¹²

(у⁵)⁴=20

то есть

4⁴=256

Вас заинтересует