• Предмет: Алгебра
  • Автор: genyacimbaluk
  • Вопрос задан 2 года назад

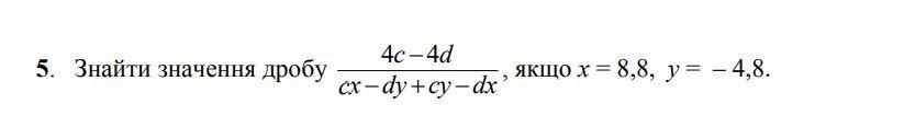
СРОЧНО! ДАЮ 50 БАЛЛОВ ЗА ЭТО ЗАДАНИЕ

Приложения:

Ответы

Ответ дал: balagazyaiser
1

Ответ:

это будет правильно если писать правильно

Приложения:
Ответ дал: bkvbaby
1

Відповідь:

Все на фото

Надеюсь понятно

Приложения:
Вас заинтересует