• Предмет: Алгебра
  • Автор: tenivojstalker
  • Вопрос задан 2 года назад

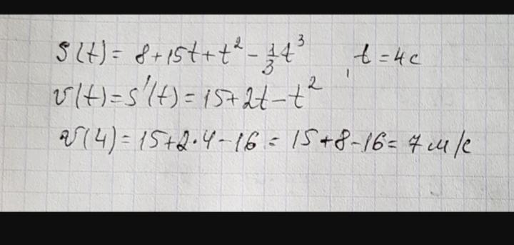
Матеріальна точка рухається по координатній прямій за законом s(t)=8+15t+t²-1/3t³( час t вимірюється у секундах переміщення s в метрах) знайдіть швидкість руху в момент часу t0=4 c

Приложения:

Ответы

Ответ дал: Panda082
1

Відповідь:

Пояснення:

Приложения:
Вас заинтересует