• Предмет: Математика
  • Автор: seferalena301
  • Вопрос задан 2 года назад

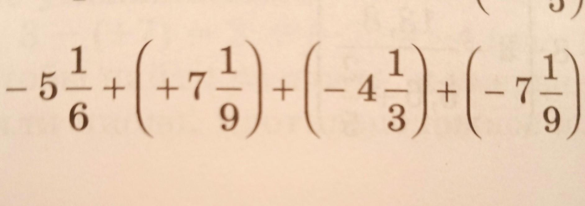
На фото пример, помогите решить​

Приложения:

Ответы

Ответ дал: manyny06
0

Ответ:

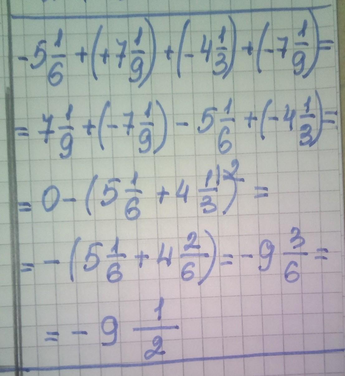
решение смотри на фотографии

Приложения:
Ответ дал: BEAVERBRAIN
0

Ответ:

-9,5

Пошаговое объяснение:

1. Найдём НОК

6=2*3

9=3*3

3=3

НОК=2*3*3=18

2. Приведём к общему знаменателю

-5 3/18+7 2/18-4 6/18-7 2/18

3. Вычислим

-5 3/18+7 2/18-4 6/18-7 2/18=7 2/18-7 2/18-5 3/18-4 6/18=0-5 3/18-4 6/18=-9 9/18=-9 1/2=-9,5

Удачи! :)

Вас заинтересует