• Предмет: Алгебра
  • Автор: eisain
  • Вопрос задан 2 года назад

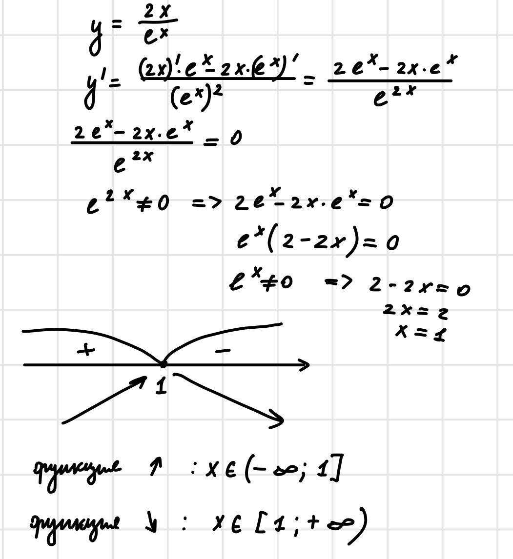
Найти промежутки монотонности функции

Приложения:

Ответы

Ответ дал: Shilkinn
0

Держи, надеюсь помог

Приложения:
Вас заинтересует