• Предмет: Алгебра
  • Автор: zielena345
  • Вопрос задан 2 года назад

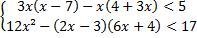
Розв’яжіть систему нерівностей

Приложения:

Ответы

Ответ дал: natalyalip04
1

Ответ:

Если что приложение называется

Приложения:

natalyalip04: photomath
Вас заинтересует