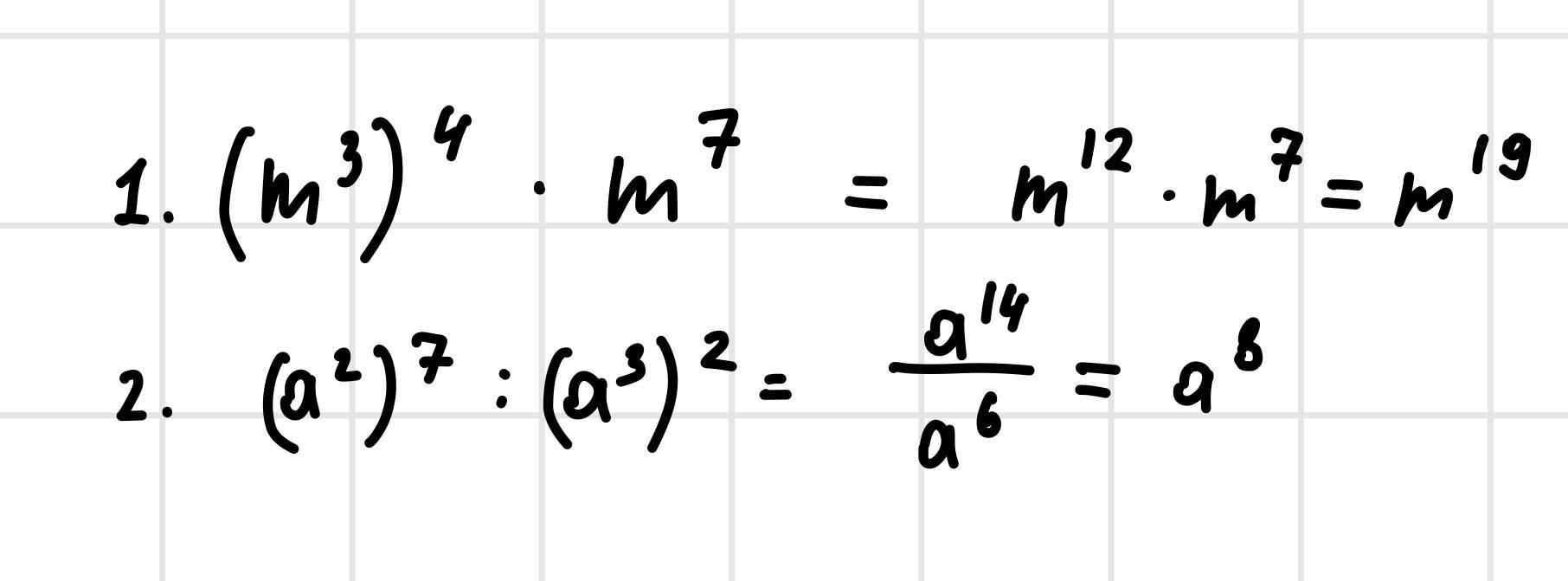
Ответы
Ответ дал:
0
надеюсь тебе помог)))))
Приложения:

fedorcaklena866:
спасибо большое тебе очень помог мне спасибо
Вас заинтересует
1 год назад
1 год назад
3 года назад
3 года назад