• Предмет: Физика
  • Автор: FunnyBee
  • Вопрос задан 2 года назад

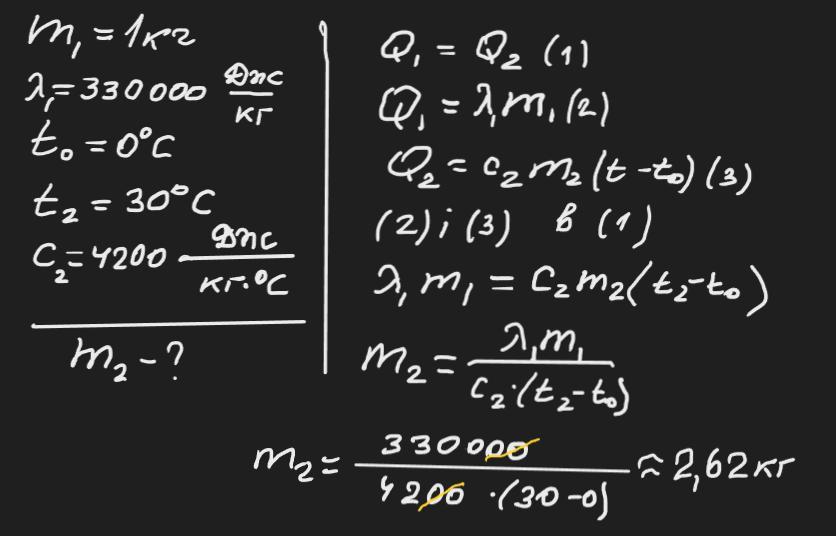
У калориметр , де знаходиться 1 кг льоду при температурі 0 С, наливають воду, що має температуру 300С. При якій масі води весь лід розтане?​

Ответы

Ответ дал: lvv9136
0

Ответ:

Объяснение:

Q₁=Q₂

тепло для розплавлення льоду Q₁=m*λ=1* 3,4· 10⁵= 3,4· 10⁵ Дж ;

m в=Q₂/(СΔТ)=3,4· 10⁵/(4200*300)=0,27 кг


zybkov1950: Вода не може мати температуру 300⁰С!
Ответ дал: zybkov1950
1

Відповідь: ≈ 2,62 кг

Пояснення:

Приложения:
Вас заинтересует