Ответы
Ответ дал:
0
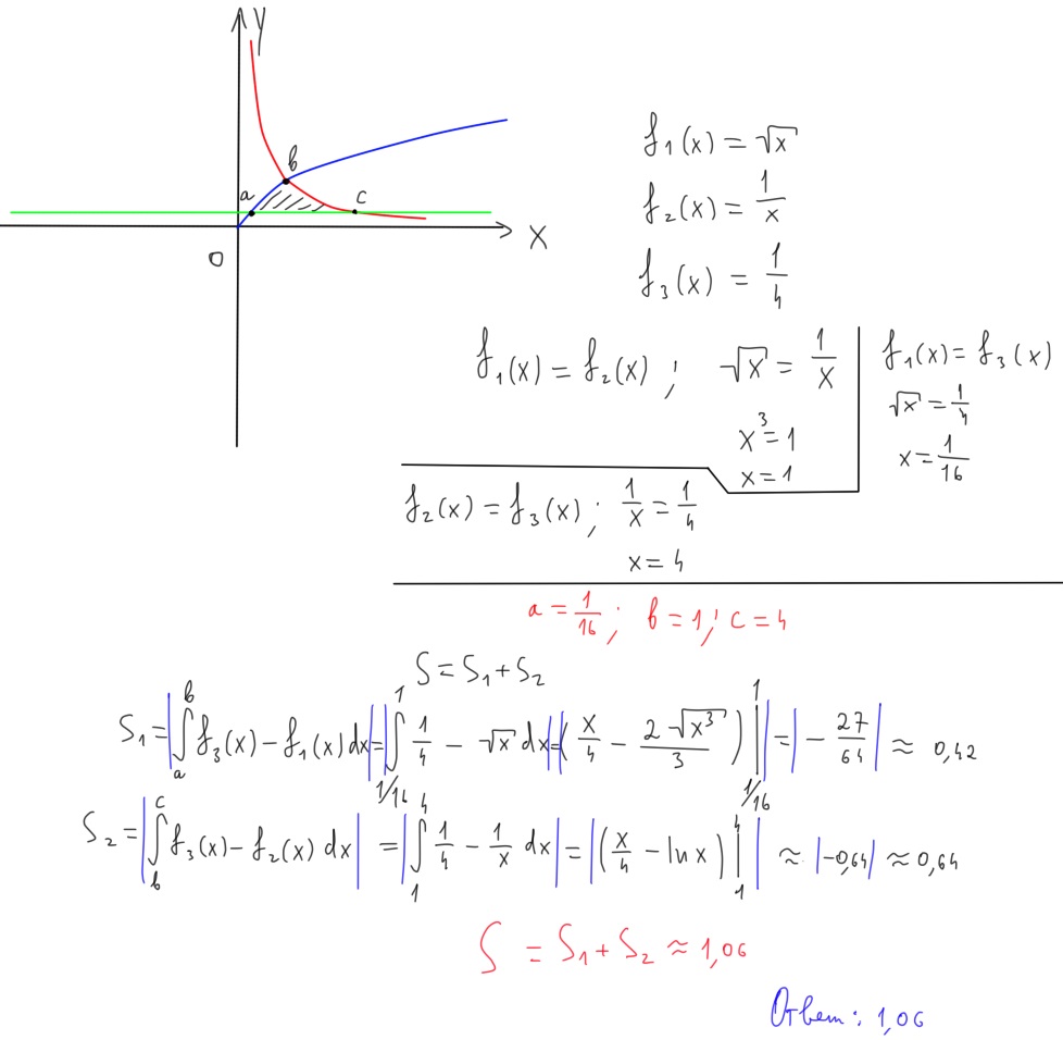
Решение на картинке.
Приложения:

Ответ дал:
0
Помоги пожалуйста решить http://znanija.com/task/5072199
Ответ дал:
0
На это, извините, в 9 классе знаний не хватает. Не смогу решить.
Вас заинтересует
2 года назад
8 лет назад
8 лет назад
10 лет назад
10 лет назад