• Предмет: Алгебра
  • Автор: igoroykgm
  • Вопрос задан 2 года назад

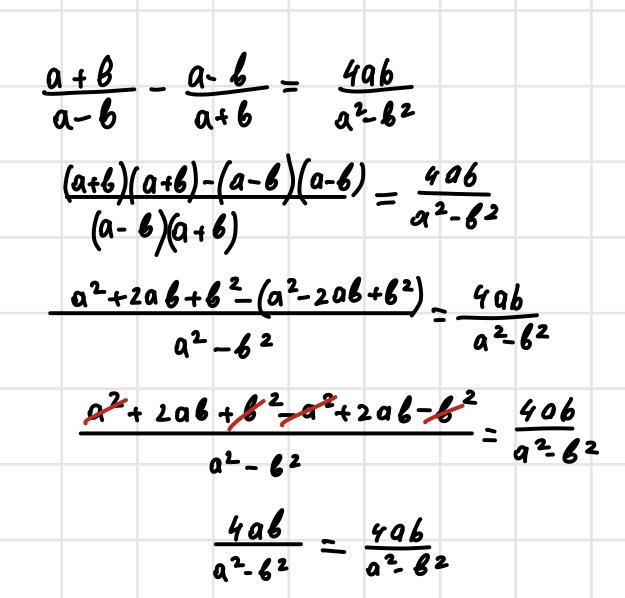
Доказать тождество
a+b/a−b ​− a−b/a+b​= 4ab/a^2−b^2​

Ответы

Ответ дал: Shilkinn
1

Надеюсь помог, удачи

Приложения:

igoroykgm: Пршшо
igoroykgm: Помог, супер, точно ,подробно,понятно!
Вас заинтересует