• Предмет: Математика
  • Автор: kanoonsaon
  • Вопрос задан 2 года назад

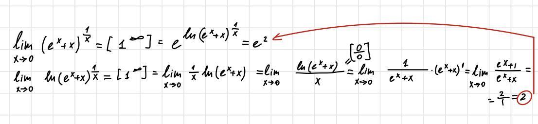
Нужно решить задачку за Правилом Лопиталя

Приложения:

Ответы

Ответ дал: Shilkinn
0

удачи, надеюсь помог)

Приложения:
Вас заинтересует