• Предмет: Алгебра
  • Автор: katyaaa16
  • Вопрос задан 2 года назад

ПОМОГИТЕЕ СРОЧНОО ДАМ 30 БАЛОВ​

Приложения:

Ответы

Ответ дал: svetazuna
1

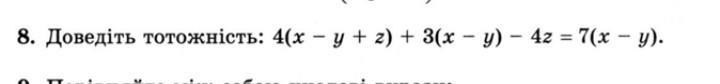
4 * (х - у + z)  +  3 * (x - y)  -  4z  =  7 * (x - y),

4х - 4у + 4z + 3х - 3у - 4z = 7 * (х - у),

7х - 7у = 7 * (х - у),

7 * (х - у) = 7 * (х - у)

Вас заинтересует