В баллоне объёмом 12 л находится кислород под давлением 1*10 в пятой степени Па при температуре 27 *C. Найти плотность газа. Решение!!!!!!
Ответы
Ответ дал:
0
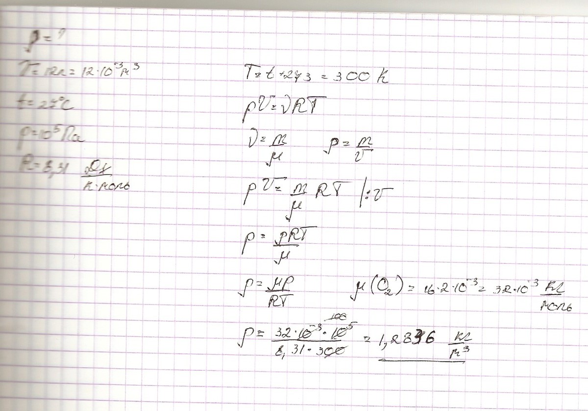
вся суть в v=m/M
В уравнение Менделеева-Клапейрона
pV=vRT
мы раскладываем ее и делим на объем, и в результате получаем плотоность
В уравнение Менделеева-Клапейрона
pV=vRT
мы раскладываем ее и делим на объем, и в результате получаем плотоность
Приложения:
Вас заинтересует
3 года назад
3 года назад
8 лет назад
11 лет назад
11 лет назад
11 лет назад