• Предмет: Алгебра
  • Автор: yanakrasina2
  • Вопрос задан 2 года назад

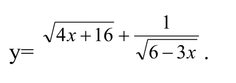
Знайдіть область допустимих значень функції

Приложения:

Ответы

Ответ дал: vlada06062010
0

Ответ:

ойой ой оййй ой ойойоооооо

Вас заинтересует