• Предмет: Алгебра
  • Автор: lochdm12
  • Вопрос задан 2 года назад

Срочно пожалуйстааа.
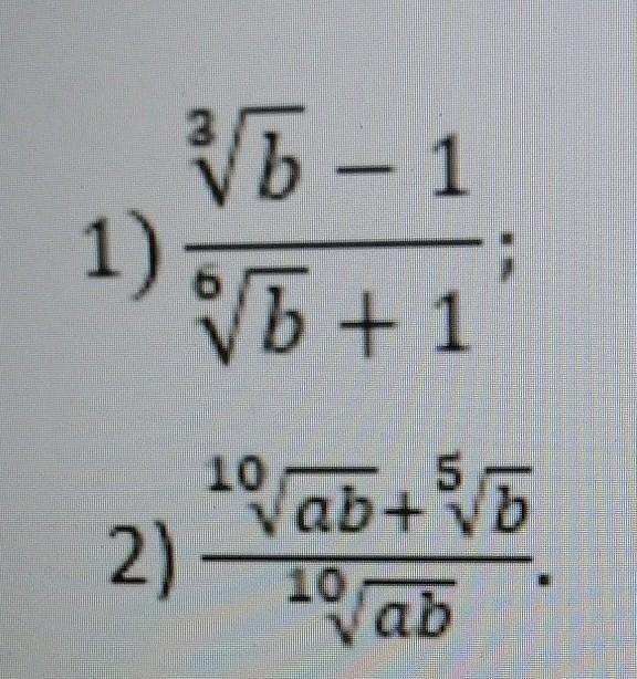
Сократить поетапно дроби

Приложения:

Ответы

Ответ дал: Universalka
1

\displaystyle\bf\\1)\\\\\frac{\sqrt[3]{b}-1 }{\sqrt[6]{b}+1 }= \frac{(\sqrt[6]{b})^{2} -1^{2}  }{\sqrt[6]{b}+1 }=\frac{(\sqrt[6]{b} +1)(\sqrt[6]{b} -1)}{\sqrt[6]{b}+1 } =\sqrt[6]{b} -1\\\\\\2)\\\\\frac{\sqrt[10]{ab} +\sqrt[5]{b} }{\sqrt[10]{ab} } =\frac{\sqrt[10]{ab} }{\sqrt[10]{ab} } +\frac{(\sqrt[10]{b} )^{2} }{\sqrt[10]{ab} } =1+\frac{\sqrt[10]{b} }{\sqrt[10]{a} } =\frac{\sqrt[10]{a} +\sqrt[10]{b} }{\sqrt[10]{a} }

Вас заинтересует