• Предмет: Математика
  • Автор: bkk04032011
  • Вопрос задан 2 года назад

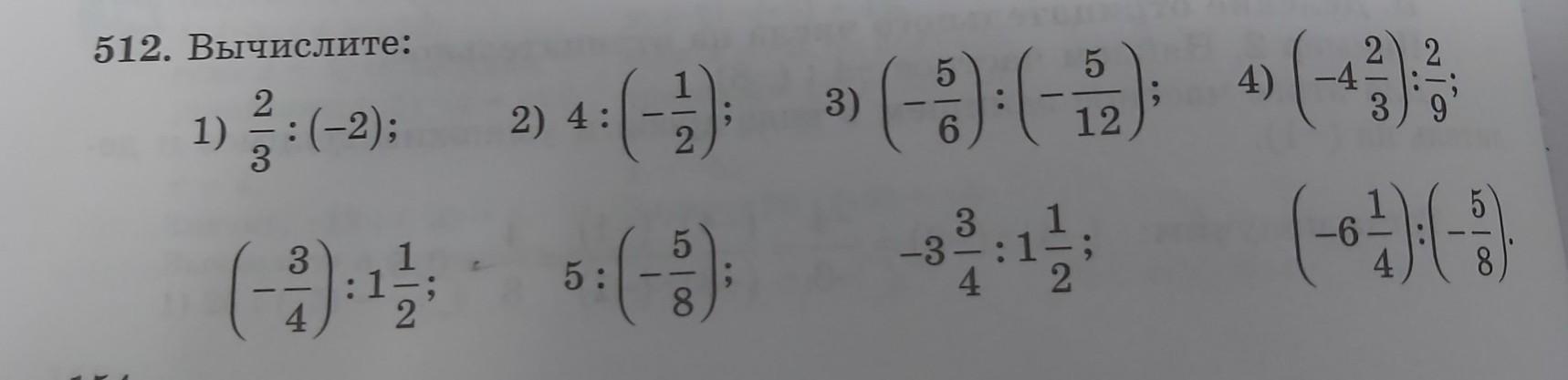
512. Вычислите:
1) 2/3 ÷ (-2);
(-3/4) ÷ 1 1/2;
2) 4 ÷ (-1/2)
5 ÷ (-5/8)
3) (-5/6) ÷ (-5/12)
-3 3/4 ÷ 1 1/2
4) (-4 2/3) ÷ 2/9
( -6 1/4) ÷ (-5/8)
Даю 50 баллов​

Приложения:

Ответы

Ответ дал: zhanelomarova1302
17

Вот ответ 100% прааильно

Скачай приложения дроби там можно тоже сдалать

Приложения:

medettokkuliev: не правильно!
medettokkuliev: самый последний
zhanelomarova1302: Вообще-то правильно последний
zhanelomarova1302: Дроби скачай в плей маркете или в апп стор и тогда ароверь
medinamihanova84: последний пример не тот.
medinamihanova84: там (-6 1/4):(-5/8)=10 должно быть.
vydrin2010: не правильно
superstarsm87870: Правильно
youdeathidiot: не правильно
vydrin2010: мне 3 поставили
Вас заинтересует