• Предмет: Математика
  • Автор: suqppercozori
  • Вопрос задан 2 года назад

СРОЧНО!!!!!!! 1 целых 2/3×11 но с розаязком

Ответы

Ответ дал: oleksandrtkach2000
0

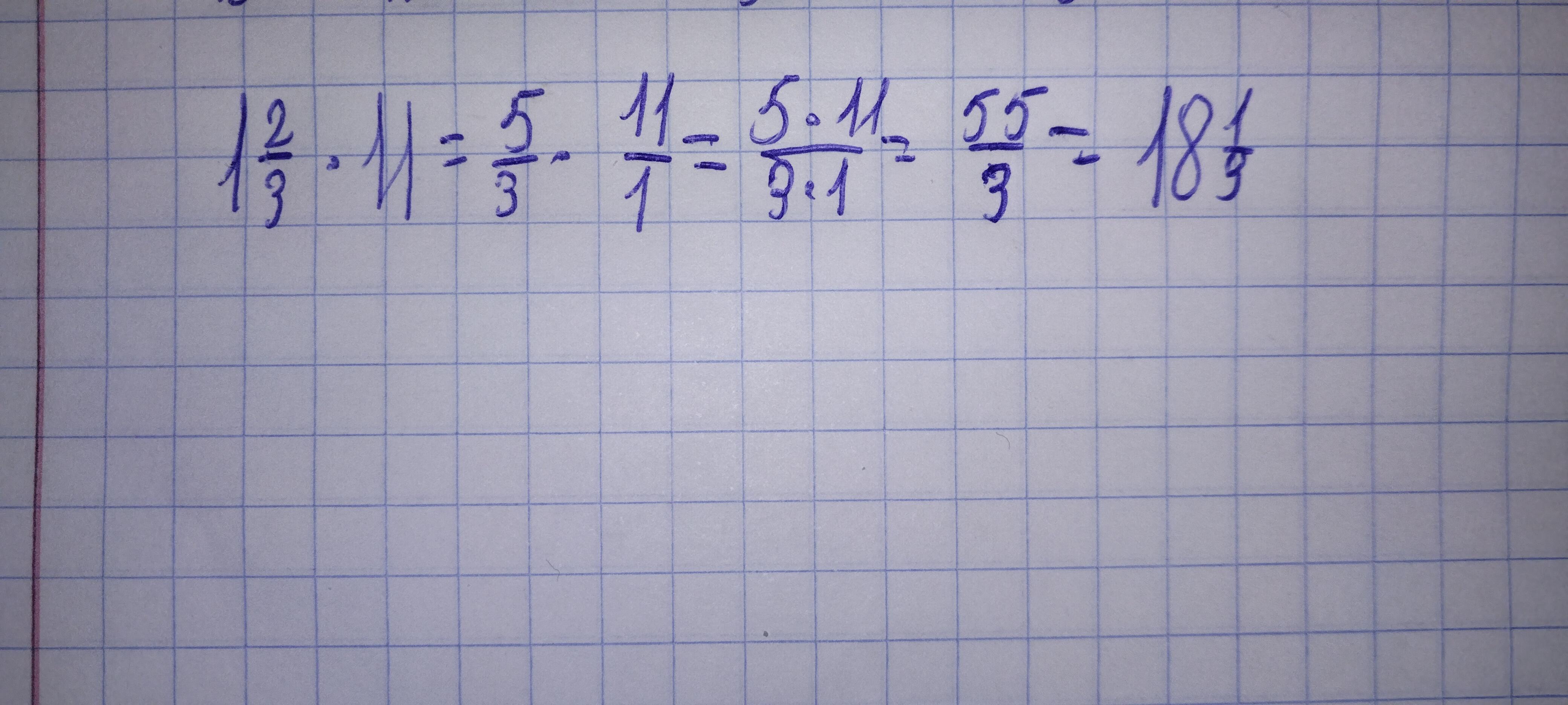
Ответ:

Пошаговое объяснение:

на фото)

Приложения:
Ответ дал: yekondratyuk
0

Відповідь:

18 цілих 1/3

Покрокове пояснення:

Перетворим в неправильний дріб 1 цілу 2/3 = 5/3 * 11 = 55/3 =18 цілих 1/3

Вас заинтересует