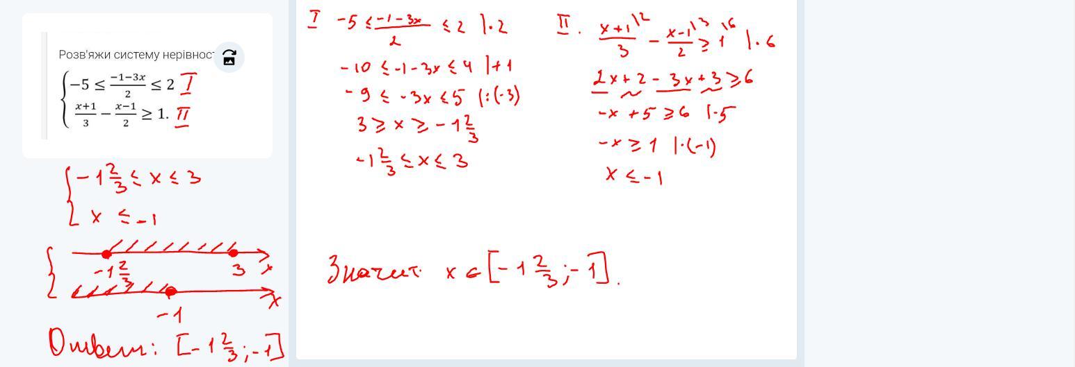
Розв'яжи систему нерівностей: -5 ≤-1-3x ≤ 2 2 x-1 21. 2 x+1 3 ПОМОГИТЕ ПРЯМ СЕЙЧАС СРОЧНО НУЖНО ,ПРОШУ !!!!!!!!!!!!!!
Приложения:

Ответы
Ответ дал:
1
Ответ:
фото
Объяснение:
Приложения:

Вас заинтересует
1 год назад
1 год назад
1 год назад
3 года назад
3 года назад
8 лет назад
8 лет назад