• Предмет: Математика
  • Автор: Аноним
  • Вопрос задан 2 года назад

СРОЧНО ПОМОГИТЕ ПЖПЖПЖПЖПЖ ДАЮ 100 БАЛОВ

Приложения:

Ответы

Ответ дал: svetazuna
0

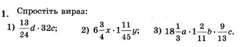
1)

13/24 d * 32 c = (13*32)/24 * c * d =

= (13*4)/3 * c * d = 52/3 * c * d = 17 1/3 cd

2)

6 3/4 x * 1 11/45 y = 27/4 * 56/45 * x * y =

= 42/5 * x * y = 8 2/5 xy

3)

18 1/3 a * 1 2/11 b * 9/13 c = 55/3 * 13/11 * 9/13 * a * b * c =

= 5 * 3 * a * b * c = 15 abc

Вас заинтересует