главние мозги вы тут если да то помогите пожалуйста я не знаю как ето решить КТО ПЕРВИЙ ДАСТ ОТВЕТ ЗАКРЕПЛЮ В ЛУЧШИЕ!!!!!!!
Приложения:

svetazuna:
1) 17 1/3 cd, 2) 8 2/5 xy, 3) 15abc
Ответы
Ответ дал:
1
Ответ:
Пошаговое объяснение:
решение внизу
Приложения:

Ответ дал:
0
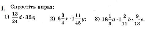
1)
13/24 d * 32 c = (13*32)/24 * c * d =
= (13*4)/3 * c * d = 52/3 * c * d = 17 1/3 cd
2)
6 3/4 x * 1 11/45 y = 27/4 * 56/45 * x * y =
= 42/5 * x * y = 8 2/5 xy
3)
18 1/3 a * 1 2/11 b * 9/13 c = 55/3 * 13/11 * 9/13 * a * b * c =
= 5 * 3 * a * b * c = 15 abc
Вас заинтересует
1 год назад
1 год назад
1 год назад
3 года назад
3 года назад