7 пж треба щоб було розпино будь ласка поможіть
Приложения:

slava23yasya:
нічого не видно
Ответы
Ответ дал:
1
Відповідь:
7
1)32a^5b^9
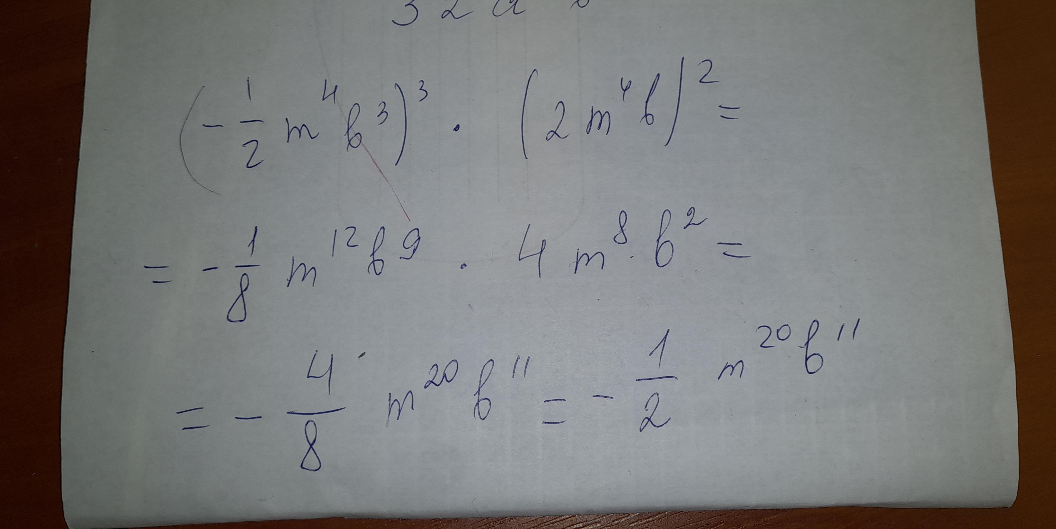
2) - 1/2 m^20b^11
Пояснення:
1) 0.5 a^3b *(-8ab^4)^2=0.5 a^3b *64a^2b^8=32a^5b^9
2) фото,
-4/8, скорочуємо на 4, та отримуємо -1/2-
Приложения:

Вас заинтересует
1 год назад
1 год назад
1 год назад
1 год назад
3 года назад
3 года назад
8 лет назад
8 лет назад