Решите пожалуйста
они типо вместе вроде
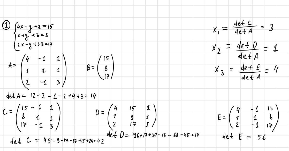
1) 4x-y+z=15 - методом Крамера
x+y+z=8 - методом Крамера
2x-y+3z=17 - методом Крамера
2)
они типо вместе вроде
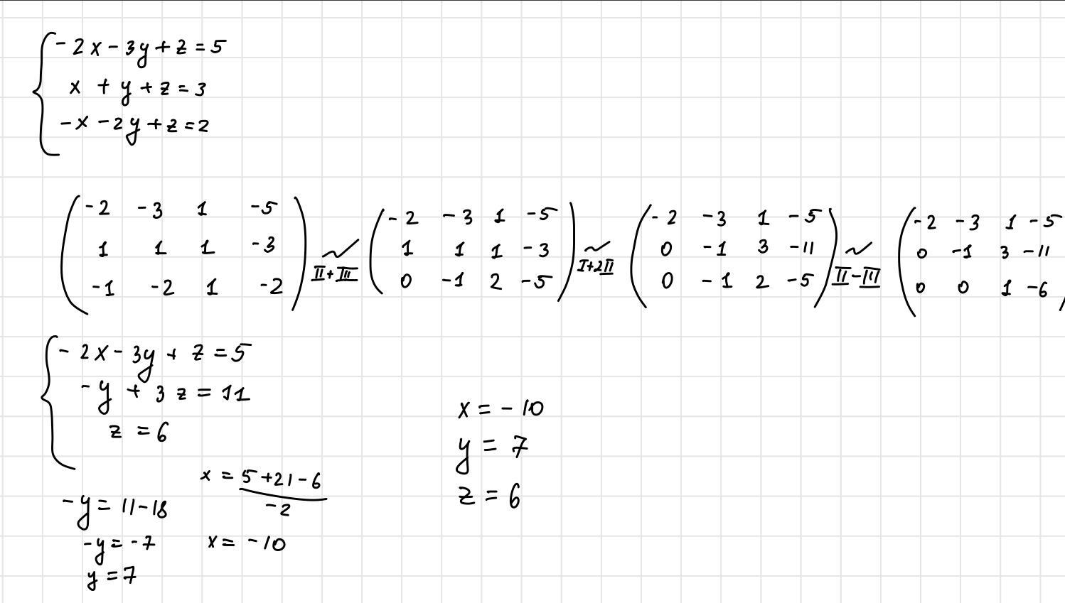
-2x-3y+z=5 методом Гаусса
x+y+z=3 методом Гаусса
-x-2y+z=2 методом Гаусса
Ответы
Ответ дал:
0
Надеюсь помог, удачи))
Приложения:
Вас заинтересует
2 года назад
2 года назад
2 года назад
2 года назад
3 года назад
3 года назад
9 лет назад
9 лет назад