• Предмет: Алгебра
  • Автор: gbit22809
  • Вопрос задан 2 года назад

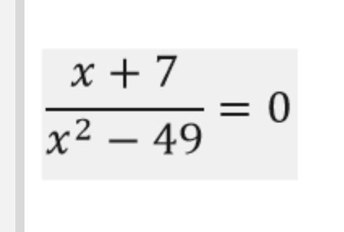
помогите пожайлуста,немогу решить ​

Приложения:

Ответы

Ответ дал: zavialova836
1
утверждение ложно для любого значения х
Приложения:
Вас заинтересует