• Предмет: Алгебра
  • Автор: LIBERHack
  • Вопрос задан 2 года назад

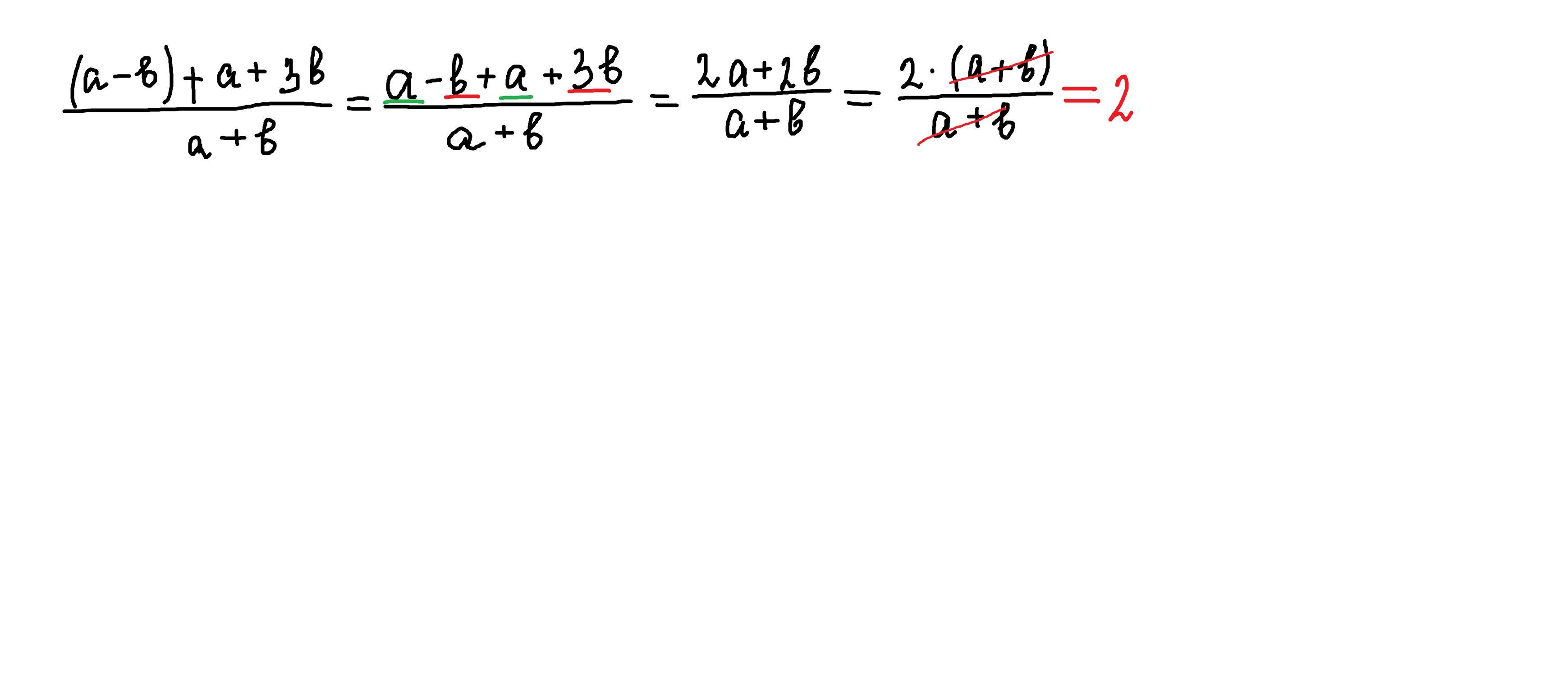
Можно ли сократить числитель и знаменатель дроби если знаменатель = а+б, а в числителе = (а-б)?

Пример:
\frac{(a-b)+a+3b}{a+b}

Ответы

Ответ дал: parus77
1

Ответ:

2

Объяснение:

нельзя сокращать слагаемые,можно только множители или если числитель и знаменатель равны.А здесь сначала надо раскрыть скобки,привести подобные слагаемые,а потом уже если будет что-сократить.Сейчас посмотрим:

да,здесь в конце получим произведение 2 на скобку(а+в),вот только теперь можем сократить а+в и  а+в ,останется только 2

Приложения:

LIBERHack: Спасибо большое, выручил
Вас заинтересует