• Предмет: Алгебра
  • Автор: kiragordieva
  • Вопрос задан 2 года назад

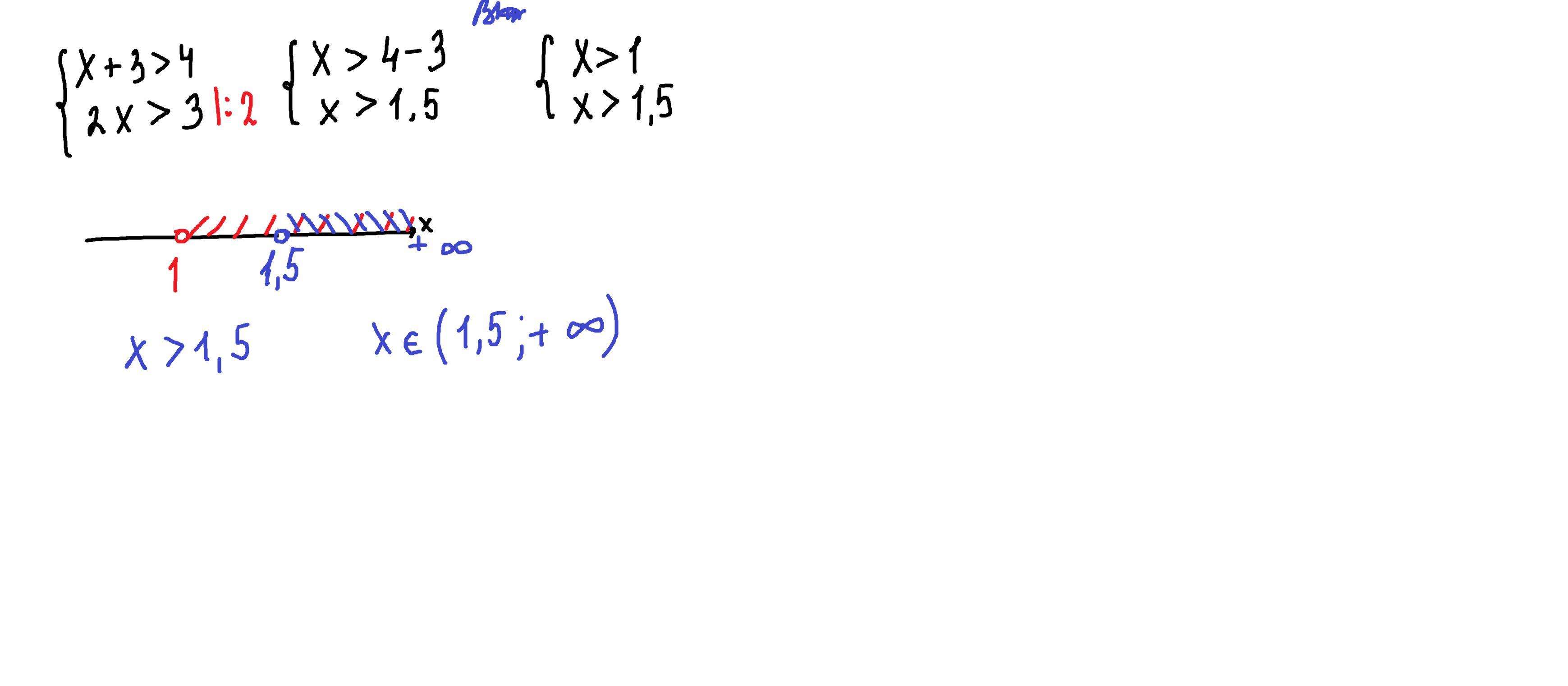
{х+3>4, 2х>3;розв'яжіть систему нерівностей ​

Ответы

Ответ дал: himikomat
1

Ответ:

x + 3 > 4 \\ 2x > 3

x + 3 > 4 = x > 4 - 3 = x > 1 \\ 2x > 3 = 2x \div 2 > 3 \div 2 = x >  \frac{3}{2}

x > 1 \\ x >  \frac{3}{2}

x∈ <  \frac{3}{2} . +  \infty  >

Ответ дал: parus77
0

Ответ:

х∈(1,5 ;+∞)

Объяснение:

решение внизу

Приложения:
Вас заинтересует