• Предмет: Физика
  • Автор: Sofka0604
  • Вопрос задан 2 года назад

Визначте швидкість руху секундної стрілки годинника, якщо її радіус 10 с







помогите пожалуйста,надо сдать сегодня ​

Ответы

Ответ дал: denis20202022
2

Ответ:

Объяснение:

Радиус стрелки 10 см

Тогда ее полный путь L = 2 пR = 2*10*3,14 = 20*3,14 = 62,8 см

полный путь она пройдет за 60 сек

тогда ее скорость составит 62,8 /60 = 1,046 см/сек.


Sofka0604: дякую,Але в вас трішки не так
Ответ дал: zybkov1950
1

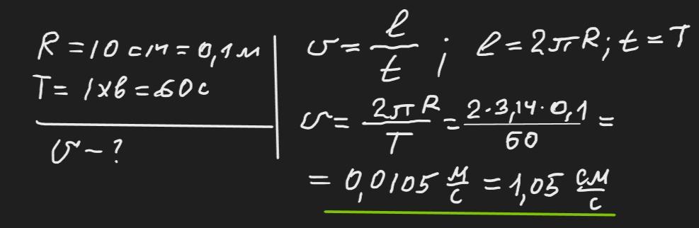
Відповідь: ≈1,05 см/с

Пояснення:

Приложения:

Аноним: Доплможіть розв'язать задачі з фізики
Sofka0604: пошлите пожалуйста,с моим новым заданием по физике, очень надо
Sofka0604: помогите*
Вас заинтересует