• Предмет: Алгебра
  • Автор: vladislavacimbaluk33
  • Вопрос задан 2 года назад

ПОЖАЛУЙСТА,СРОЧНО! Знайдіть значення функції:​

Приложения:

Ответы

Ответ дал: mishurrra
1

Ответ на задание в фотографии:

Приложения:
Ответ дал: svetazuna
1

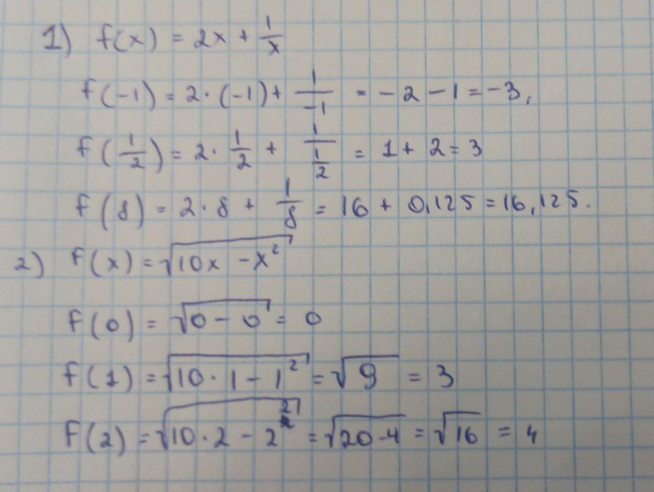
1)

f (х) = 2х + 1/х

f (-1) = 2 * (-1) + 1/(-1) = -2 - 1 = -3

f (1/2) = 2 * 1/2 + 1/(1/2) = 1 + 2 = 3

f (8) = 2 * 8 + 1/8 = 16 + 1/8 = 16 1/8

2)

f( х) = √(10х - х²)

f (0) = √(10* 0 - 0²) = √0 = 0

f (1) = √(10 * 1 - 1²) = √(10 - 1) √9 = ± 3

f (2) = √(10 * 2 - 2²) = √(20 - 4) = √16 = ± 4


mishurrra: это же арифметический корень, почему вы отрицательные числа включаете?
Вас заинтересует