• Предмет: Математика
  • Автор: lillois999
  • Вопрос задан 2 года назад

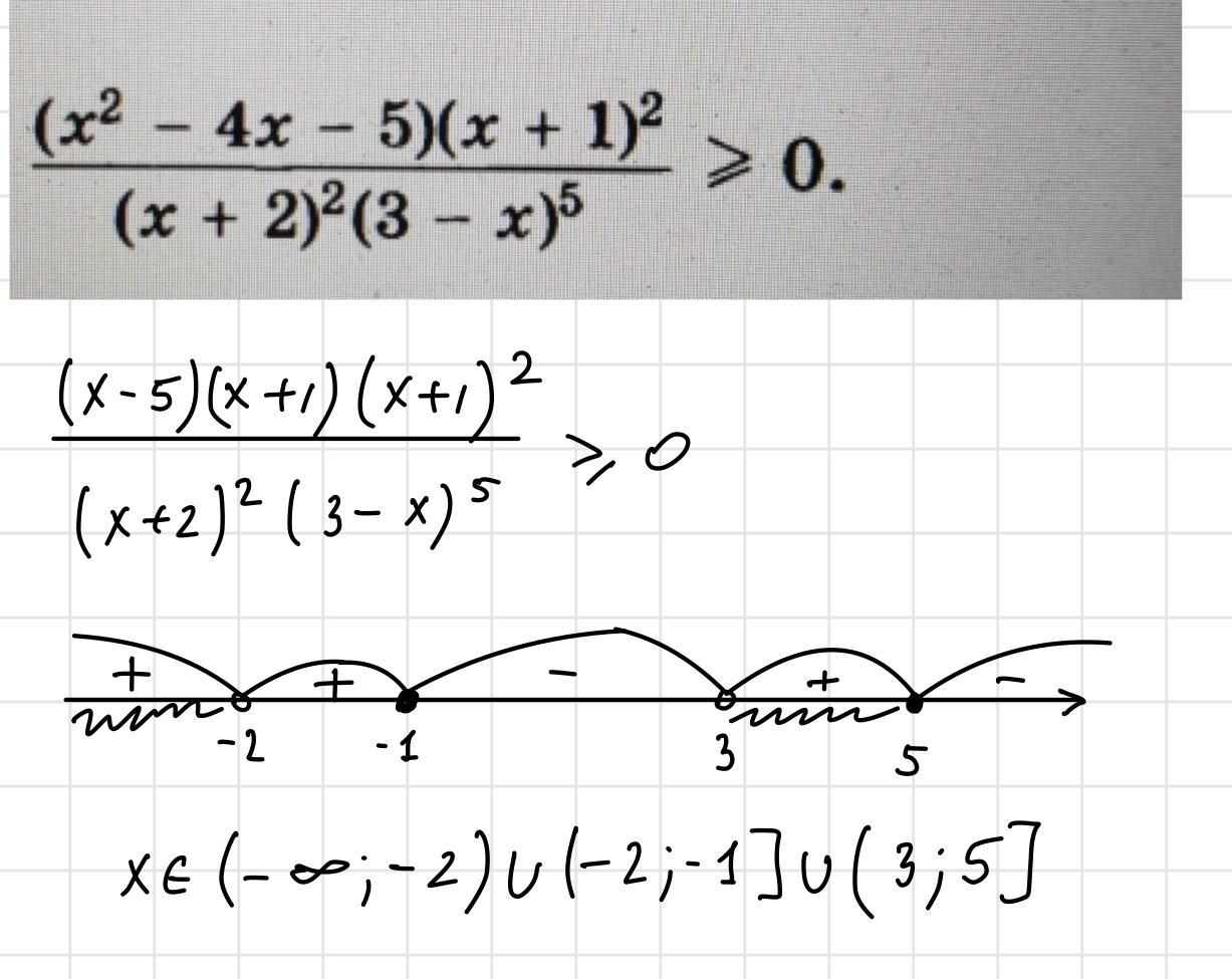
решение рациональных равенств методом интервалов​

Приложения:

ГАЗ52: Привет. Хочешь на пальцах поясню?
lillois999: давай
ГАЗ52: Нужно разложить на множители первую скобу в числителе. Будет
lillois999: ты можешь в дтскорд или куда нибудь
ГАЗ52: Уже решили. Только не написали, что знаки не чередуются около чётной степени.
Shilkinn: Думаю не обязательно, ведь можно взять и подставить число из промежутка)

Ответы

Ответ дал: Shilkinn
1

Держи, надеюсь помог)

Приложения:

lillois999: хочешь ещё?
Shilkinn: Если есь
Shilkinn: если есть, кидай)
Вас заинтересует