• Предмет: Алгебра
  • Автор: lissssa10
  • Вопрос задан 2 года назад

ПОМОГИТЕ СРОЧНО РЕШИТЬ!!! ДАЮ 25 балоов

Приложения:

Ответы

Ответ дал: to5633t431
1

Ответ:

Думаю так. Смотри по фото.

Приложения:

ilya39101: думаю, задача не подразумевает решения с калькулятором/подсчет таких больших степеней
lissssa10: Нет, это по свойству
ilya39101: извините, по какому свойству? в решении, я вижу, вы в лоб возвели все тройки в соответствующие степени
lissssa10: Свойство степеней, это явно неверно
lissssa10: Вы же сами в своем ответе использывали свойство
lissssa10: Я имела ввилу что этот ответ неверен
ilya39101: не понимаю вас
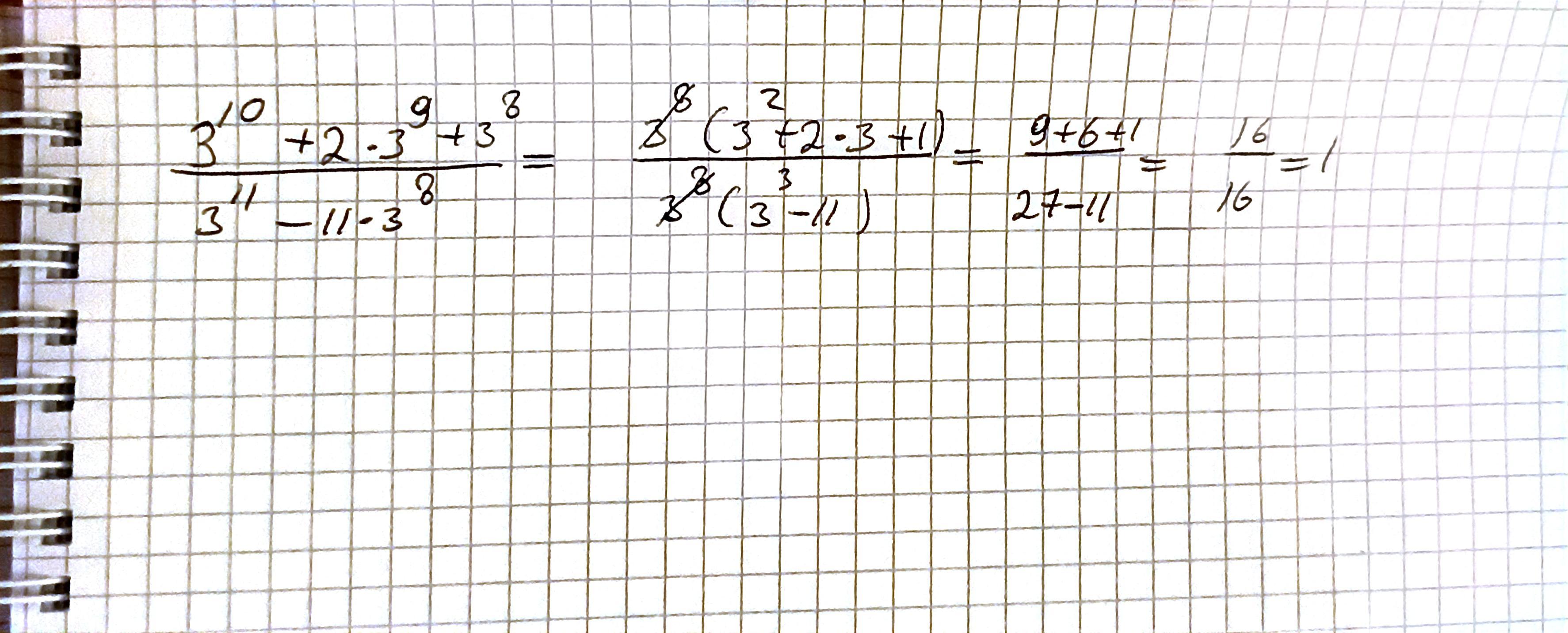
Ответ дал: ilya39101
1

Ответ:1

Объяснение:представлено на фотографии

Приложения:

lissssa10: Можете, пожалуйста обьяснить почему вместе 3 в 10 степени стало 3 во 2? Огоромное спасибо
ilya39101: по свойствам степеней, при умножении одного и того же числа с разными степнями- степени складываются, с делением- отнимаются. мы выносим 3^8 из числителя и знаменателя, соответственно, получается 3^10/3^8 и т.д.(смотрите свойства степеней)
lissssa10: Спасибо
lissssa10: Ну по сути почему мы взяли именно 3 в 10 и 3 в 8? Я знаю эти свойства но троек то там не 2
lissssa10: Обьясните пожалуйста
lissssa10: Эх
ilya39101: я взял 3 в 10 и 3 в 8 для примера, чтобы ответить на ваш вопрос. если копаться глубже, то при выносе 3^8 из числителя у нас выйдет: 3^8 ( 3^(10-8) + 2• 3^(9-8) + 3^(8-8) ), для знаменателя аналогично
lissssa10: Спасибо большое, теперь я поняла там 3 в 8 вынесено в общем и там все связано с друг другом ничего сложного, спасибо!!
Вас заинтересует