• Предмет: Алгебра
  • Автор: polichkosofiia
  • Вопрос задан 2 года назад

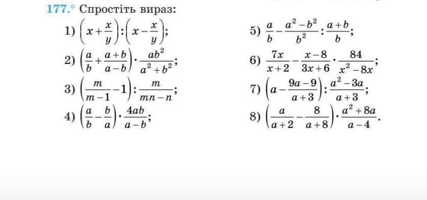
Помогите пожалуйста сделать 2,6 задание с полным решением. Заранее спасибо большое) Поставлю лучший ответ!

Приложения:

Ответы

Ответ дал: hodmarina1984
1

Ответ:.

Прикреплен

Приложения:

vivivivivigug: Здравствуйте. Можете помочь, пожалуйста ? Вопрос в профиле, самый первый.
Вас заинтересует