• Предмет: Алгебра
  • Автор: StrangeHope
  • Вопрос задан 2 года назад

Скоротіть дроби, будь ласка:​

Приложения:

Ответы

Ответ дал: svetazuna
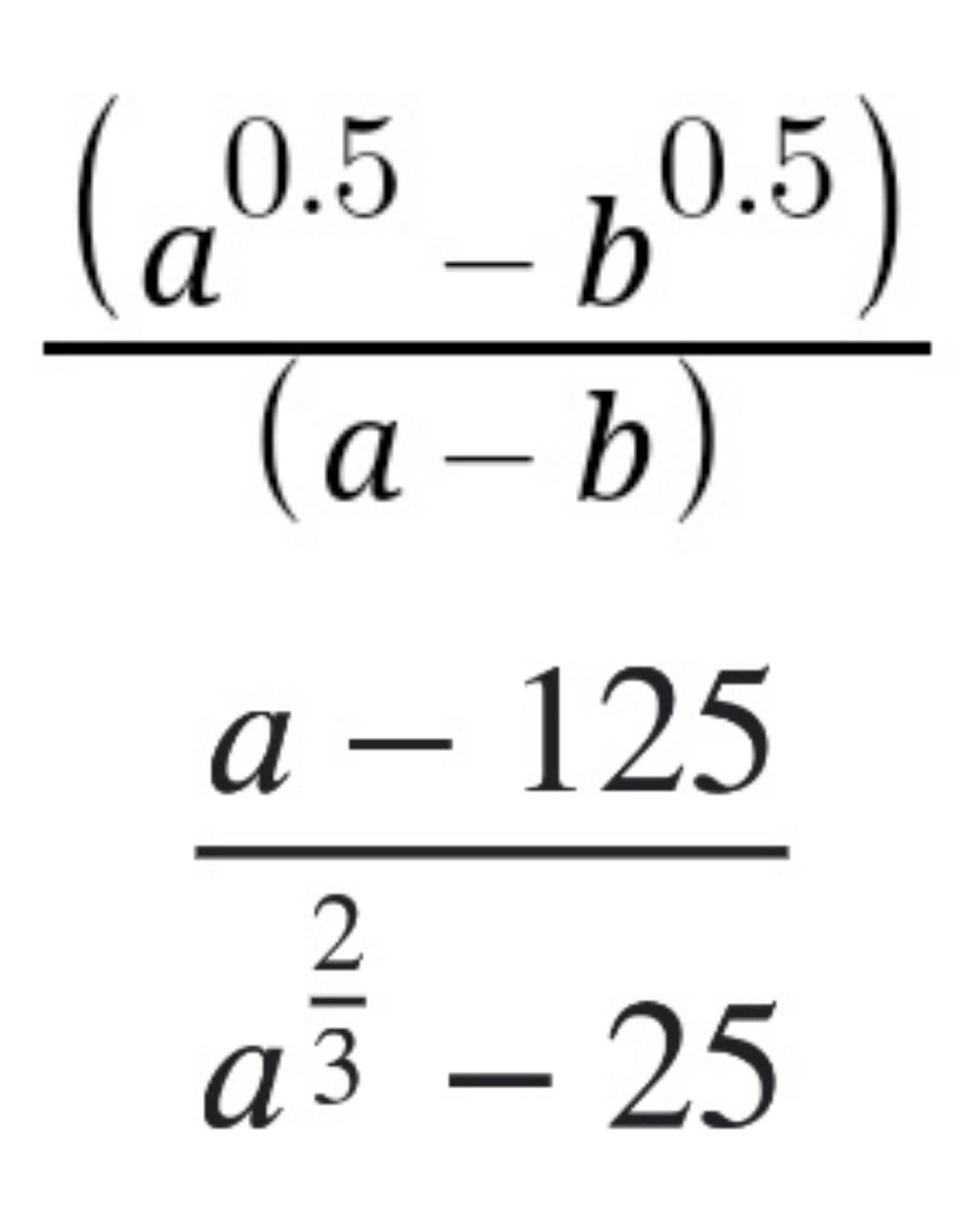
2

(а⁰°⁵ - в⁰°⁵)       (а¹⁾² - в¹⁾²)              (а¹⁾² - в¹⁾²)                      1                    1

----------------  =  -------------  =  -----------------------------  =  -------------  = ---------------

  (а - в)           (а²⁾² - в²⁾²)      (а¹⁾² - в¹⁾²) (а¹⁾² + в¹⁾²)      (а¹⁾² + в¹⁾²)     (а⁰°⁵ + в⁰°⁵)

 а - 125        а³⁾³ - 5³         (а¹⁾³ - 5) (а²⁾³ + 5а¹⁾³ + 5²)       а²⁾³ + 5а¹⁾³ + 25

------------  =  --------------  =  -----------------------------------  =  -----------------------

а²⁾³ - 25       (а¹⁾³)² - 5²            (а¹⁾³ - 5) (а¹⁾³ + 5)                     а¹⁾³ + 5

Вас заинтересует